k հատ արտադրիչների արտադրյալը, որոնցից յուրաքանչյուրը նշանակում են a է, կարճ նշանակում են ak և անվանում a-ի k-րդ աստիճան: k-ն կոչվում է աստիճանացույց, իսկ a-ն՝ հիմք:
Օրինակ՝

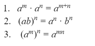
Դիցուք m-ը և n-ը բնական թվեր են, ապա տեղի ունեն հետևյալ հավասարությունները՝

Տված միանդամը և նրա առջև մինուս նշան դրված միանդամը կոչվում են հակադիր միանդամներ:
Օրինակ՝ 3abc և -3abc միանդամները հակադիր միանդամներ են:
Որպեսզի ստանանք տված միանդամին հակադիր միանդամ, պետք է այդ միանդամի առջև դնել մինուս նշան կամ որ նույնն է, այ նբազմապատկել -1-ով:
Առաջադրանքներ
**Կարդացե՞լ ես դասը։ Հարցեր տեսական մասից
ա․ Ի՞նչ է ցույց տալիս ak -ը։ Նշի՛ր a-ի և k-ի նշանակությունը։
բ․ Ինչի՞ է հավասար a-ի առաջին աստիճանը։
գ․ Արտադրյալի տեսքով ներկայացրու a³-ը։
դ․ Բեր երկու հակադիր միանդամների օրինակ։
1) Պարզեցրեք միանդամի գրառումը՝ օգտագործելով աստիճանը.
ա) aba = a2 . b
բ) kpppkp = k2 . p4
գ) 3abab = 3 . a2 . b2
դ) 7xxyyyyx = 7 . a2 . b2
ե) ababa = a3 . b2
զ) 3a2a3a = 32 . a3 . 2 = 9 . a3 2 = 18 . a3
է) a3a4 = a3+4 = a7
ը) a2a3a5 = a2+3+5 = a10
2) Գտեք միանդամների արտադրյալին հավասար միանդամը.

ա) 44p4k3
բ) 120x2+4y3+1 = 120x6y4
գ) (-18) a3 . b
դ) 36b3c2
3) Բարձացրեք աստիճան.

ա) a2+2 = a4
բ) b3.3 =b9
գ) 9a2
դ) 23 . b3 =8b3
ե) k2 . c4 = 16 . c4
զ) 52 . a2 . b2 = 25 . a2 . b2
4) Գրառեք՝
ա) a-ի խորանարդի և b-ի քառակուսու արտադրյալը:
a3 . b2
բ) a-ի քառակուսու և b-ի կրկնապատկի արտադրյալը:
a2 . 2b
գ) a-ի խորանարդի և b-ի քառակուսու եռապատիկի արտադրյալը:
a3 . 3b2
դ) a-ի քառակուսու կրկնապատիկի և a-ի խորանարդի արտադրյալը:
2a2 . a3
Լրացուցիչ առաջադրանքներ
5) Գտեք միանդամների արտադրյալին հավասար միանդամը.

ա) (-25)c4k3
բ) 42k3p8
գ) (-56)p4x7
դ) (-250)x6y4
6) Բարձացրեք աստիճան.

ա) 73 . a3 . b6
բ) 81b4c2
գ) 1/9 a4

7) Տրված միանդամը ներկայացրեք մեկ այլ միանդամի քառակուսու տեսքով.

ա) (5a)2
բ) (7b)2
գ) (4c2)2
դ) (9e3)2
ե) (8k4)2

8) Բալից խյուս պատրաստելիս 18/100 -ը թափոն է դառնում: Որքա՞ն բալ պետք է վերցնել 17.22 տոննա խյուս ստանալու համար:
17,22 . 18 : 100 = 3,0996
Պատ․՝ 3,0996 տոննա բալ